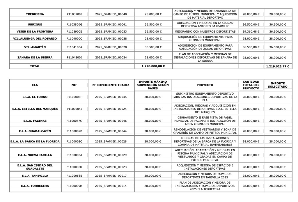
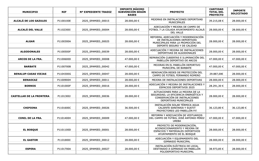
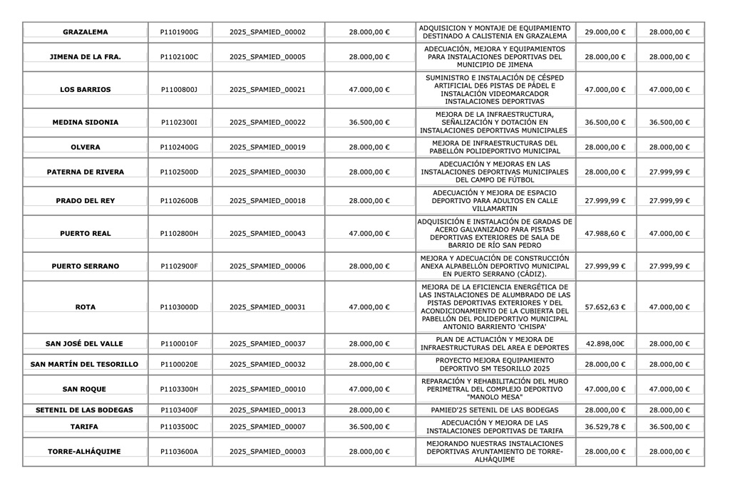
La Diputación de Cádiz ha aprobado la financiación de un total de 47 proyectos municipales y de entidades locales autónomas en el marco del Plan de Adecuación y Mejora de Instalaciones y Espacios Deportivos (PAMIED). La inversión, que asciende a 1.499.623,77 euros, se destinará a actuaciones que abarcan desde la modernización de sistemas de iluminación y la incorporación de energías renovables hasta la mejora de la accesibilidad, la reparación de infraestructuras y la adquisición de equipamiento deportivo.

El reparto de fondos cubre a todos los municipios gaditanos de menos de 50.000 habitantes, así como a las diez entidades locales autónomas de la provincia. Cada proyecto responde a necesidades muy concretas: desde la reparación de cubiertas dañadas por la climatología hasta la instalación de placas solares térmicas, pasando por la sustitución de antiguos proyectores de descarga por sistemas LED de última generación.
La horquilla de financiación se ha establecido en función de la población:
- Hasta 28.000 euros para municipios de menos de 10.000 habitantes y ELA.
- Hasta 36.500 euros para localidades entre 10.001 y 20.000 habitantes.
- Hasta 47.000 euros para los municipios de entre 20.001 y 50.000 habitantes.
Este diseño busca un equilibrio territorial: que las localidades más pequeñas dispongan de recursos suficientes para intervenciones relevantes sin que las más pobladas concentren en exceso la ayuda.

Entre el listado de proyectos (descarga pdf) que recibirán subvención incluye la renovación de redes de protección del campo de fútbol Fernando Romero en Benalup-Casas Viejas; la instalación de una placa solar térmica y sustitución de proyectores LED en el pabellón Príncipe Felipe de Chipiona; la reparación de cubiertas e iluminación del pabellón deportivo de Arcos de la Frontera; la adquisición e instalación de gradas de acero galvanizado en pistas deportivas exteriores del Río San Pedro en Puerto Real; mejoras en la ciudad deportiva Antonio Barbadillo de Ubrique y la adquisición de equipamiento para el gimnasio municipal de Villaluenga, por citar algunas de las iniciativas que serán financiadas con el respaldo de la Diputación.

La Diputación de Cádiz ha puesto en marcha este año el Plan de Adecuación y Mejora de Instalaciones y Espacios Deportivos, PAMIED, con el objetivo de facilitar la práctica deportiva tanto de base como profesional, así como aumentar las posibilidades de albergar grandes eventos deportivos. Gracias a las ayudas, se podrán mejorar las instalaciones deportivas de la región gracias a la adquisición de equipamiento o material, y adaptaciones relativas a la accesibilidad, eficiencia energética, inclusión, digitalización y seguridad.
| Fuente de imágenes: Freepik*.
*Imágenes de apoyo procedentes de bancos de recursos gráficos que no pertenecen a los proyectos mencionados |

